FlashAttention v1-v3 & FlashDecoding¶
约 4711 个字 15 张图片 预计阅读时间 24 分钟
Motivation¶
attention 的计算对计算和内存要求都很高(b 是 batch size,s 是 seq len,h 是 hidden size)
- Compute:\(4bs^2h\)
- Memory:\(bs^2h\)
但实际上 Attention 是 Memory-Bound 的操作,计算资源远远没有被充分利用
Dropout、softmax、Mask——这些都是element-wise操作,都是内存密集型操作
- 有改进的方法降低计算复杂度,没太大用,原因缓存存取很耗时
FlashAttention优化了显存存取,非优化计算复杂度
传统的 Attention 计算需要对 HBM 进行存取 8 次,非常耗时
我们希望尽可能将 attention 分块,部分加载到 shared memory 进行一次计算后直接写回,避免多次的读取和写入。这就带来了挑战,我们必须避免显式地(在内存中)构建出矩阵 S,同时还要做到:
- 在前向传播中,在无法访问完整的 \(N \times N\) 矩阵的情况下,计算出 softmax 的归一化结果 \(O\);
- 在反向传播中,即使没有保存前向传播时的 \(N \times N\) softmax 激活值,也能够正确计算梯度。
在正式进入 Flash Attention 之前,我们需要重新回顾下 softmax 的过程以及 *online softmax 如何实现的,FA 主要思想就是进行分块计算注意力,Online-Softmax 是 FA 实现的关键
Online Softmax¶
basic softmax¶
safe softmax¶
将变量的指数统一减去最大值,防止指数数值上溢
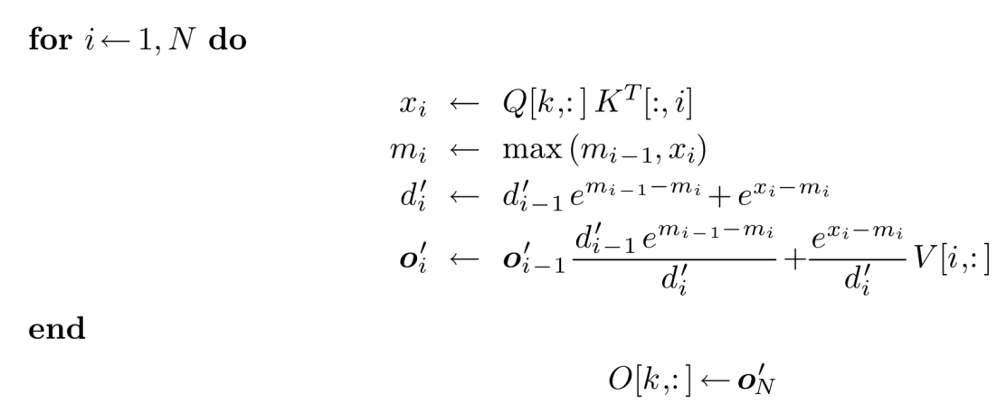
online softmax¶
实际上我们的 \(d_i^{\\prime}\) 可以由 \(d_i\) 递推得到:
- 我们可以只在一次循环中计算出 \(m_i\) 和 \(d_i\),而不需要先计算出完整的 \(m\) 和 \(d\)。
Flash Attention¶
当键向量 K 被划分为两个块(blocks),并且值向量 V 也被划分为两个块时,我们可以分别对每个块计算注意力(attention),然后在最后对输出进行重新缩放(rescaling),这样就能得到与完整计算相同的正确结果。
在示意图中,为了简化说明,我们省略了 softmax 中减去每行最大值(row-wise max) 的步骤。
SRAM 分块示例¶
传统Attention 8 次进行 HBM 到 SRAM 的交换,大量时间花在了显存访问上:
- Read Q, Read K: HBM->SRAM
- Write S(\(Q@K^T\)): SRAM->HBM
- Read S: HBM->SRAM
- Write P(softmax(S)): SRAM->HBM
- Read P, Read V: HBM->SRAM
- Write O: SRAM->HBM
我们希望分块的计算可以在 SRAM 一次算完,减少 HBM 的读写次数,不要在计算中途写入或者读取整个大矩阵 S 和 P
Self attention v2: with Online Safe Softmax¶
我们通过 online safe softmax 可以得到 self attention 的计算过程
- 我们可以发现,其实我们只需要 \(o_i\),而不是 \(a_i\)
- 所有我们接下来可以找 \(o_i\) 的递推公式,只用一个循环实现部分的更新(max,d,o)
Flash Attention¶
寻找 \(o_i\) 的递推公式:
此时就得到Flash Attention的 one-pass 迭代形式
Tiling Flash Attention¶
- 外层循环遍历 K 和 V 的列块(一次 I/O 读)
- 这里 Flash Attention 2 会更改,因为每次 Q 计算下一次 KV 的时候,Q 的 L2 Cache 会被刷掉,影响效率
- 内存循环遍历 Q 的行块(一次 I/O 读)
- 计算 \(Q \cdot K^T\)产生了一个 \(B_r \times B_c\) 的小矩阵 \(S_{ij}\)。它从不被写入 HBM
- 针对刚刚得到的 \(S_{ij}\) 块,计算这个块的局部Softmax 统计量:
- \(\tilde{m}_{ij}\):\(S_{ij}\) 这一块的行最大值 (rowmax)。
- \(\tilde{P}_{ij}\):\(S_{ij}\) 减去块最大值后的 \(\exp\) 结果,即 \(e^{S_{ij} - \tilde{m}_{ij}}\)。
- \(\tilde{\ell}_{ij}\):\(\tilde{P}_{ij}\) 的行和 (rowsum),即 \(\sum e^{S_{ij} - \tilde{m}_{ij}}\)。
- 更新 \(m_i^{new}\) 和 \(l_i^{new}\)
- 更新输出 \(O_i\) (一次 I/O 写):\(O_i \leftarrow \text{diag}(\ell_i^{new})^{-1} \left( \text{diag}(l_i)e^{m_i - m_i^{new}} O_i + e^{\tilde{m}_{ij} - m_i^{new}} \tilde{P}_{ij} V_j \right)\)
- \(e^{m_i - m_i^{new}} O_i\):用缩放因子修正“历史”输出 \(O_i\)。
- \(e^{\tilde{m}_{ij} - m_i^{new}} \tilde{P}_{ij} V_j\):计算当前块的(未归一化的)输出,并用缩放因子修正它。
- 两者相加,得到(未归一化的)新输出。
- \(\text{diag}(\ell_i^{new})^{-1}\):最后,除以新的全局分母 \(\ell_i^{new}\),完成归一化。
- 第二次 I/O 写: 将更新后的 online 统计量 \(\ell_i^{new}\) 和 \(m_i^{new}\) 也写回 HBM,以便下一个外循环(\(j+1\))可以使用它们。
Summary¶
- 我们只会读取 \((Q, K)\) 一次,我们实际上是分块计算,分块存储输出矩阵 \(O\)
- 我们从来不会获取完整的 \(S\)
- 我们也不会获取完整的 $ softmax(S)$
Flash Attention V2¶
Flash Attention 2 比 Flash Attention 1 加速 2x, 计算效率达到GEMM性能的 50~73%,v2 相比于 v1 的优化主要有下面几点:
- Parallelsim:置换内外循环位置,同时增加 seq 维度的并行,不只是不同 batch/head 可以并行,不同 sequence tile 也可以并行
- Work Partitioning Between Warps: 优化 thread blocks 内部 warp 级别的工作模式,尽量减少 warp 间的通讯和读取 shared memory 的次数
- Optimize non-matmul:优化 Attention 部分thread blocks的并行化计算,新增 seq_len 维度的并行,使 SM 的利用率尽量打满。这其实也是内外循环置换这个总体思想配套的改进措施
- Causal Masking:Flash Attention 是块计算的,可以直接跳过 causal mask 的块
Parallelism¶
FlashAttention 在 batch 和 heads 两个维度上进行了并行化:
- 使用一个 thread block 来处理一个 attention head,总共需要 thread block 的数量等于
batch size × number of heads。每个 block 被调到到一个 SM 上运行,例如 A100 GPU 上有 108 个 SMs。当 block 数量很大时(例如 ≥80),这种调度方式是高效的,因为几乎可以有效利用 GPU 上所有计算资源。
并行维度增加 Q 维度¶
但是在处理长序列输入时,由于内存限制,通常会减小 batch size 和 head 数量,这样并行化程度就降低了。因此,FlashAttention-2 还在序列长度这一维度上进行并行化,显著提升了计算速度。此外,当 batch size 和 head 数量较小时,在序列长度上增加并行性有助于提高 GPU 占用率。
- 不同 SM 计算同一个 Head 的不同 \(Q\) 块时,互不干扰,因为它们最终贡献的是输出 \(O\) 的不同行。这极大地提高了长序列训练时的 GPU 利用率(Occupancy)
内外循环置换,Q 为外循环¶
Flash Attention 2 将 Q 当作外循环,KV 当作内循环, 将 O[i] 的在一个 Q[i] 周期算完,可以减少 SRAM -> HBM 的次数
- FA1 由于外层是 KV,每当处理一个新的 KV 块时,都需要更新所有的 Q 块对应的输出
- FA2 计算完所有的 KV 块后,该 Q 块对应的输出 \(O\) 就彻底算完了。每个 Q 块对应的 \(O\) 只需要在最后写入一次 HBM
- \(O\)从O的缓存write/read次数从2 x B_q x B_kv -> 2 x B_q次
Work Partitioning Between Warps¶
在每个 thread block 内部,我们也需要决定如何在不同的 warp 之间分配工作。我们通常在每个 thread block 中使用 4 或 8 个 warp。
- FA1 在 Warp 级别通常是将 \(Q\) 交给所有 Warp,但将 \(K\) 和 \(V\) 切分给不同的 Warp
- v1 计算该块的 \(O_i\) 时,每个 warp 算出了矩阵乘的部分结果(\(O_i\)),需要先写入共享内存。然后再同步,并重新读取,reduce 成一个。会有额外的共享内存读写开销,和不同 warp 同步的开销。
需要把 partial 结果写到共享内存并做
__syncthreads()+ read + reduce - FA2 改变了策略:将 \(Q\) 切分给不同的 Warp,但让每个 Warp 都能看到完整的 \(K\) 和 \(V\) 块(在当前 Block 的 Shared Memory 中)。
- v2 对 \(Q_i\) 分块,每个 warp 能得到矩阵乘的部分完整结果。可以直接写到共享内存中该结果的对应部分,不需要 warp 之间同步了。也不需要再像 v1 一样把部分和从共享内存读出来,写到最终结果
所有的同步操作都在 warp 内就完成了,只有最后的 O 输出的时候将 4 个 warp 的结果 allgather 成完整的 O
Optimize non-matmul¶
在 GPU 上,尤其 Tensor Core 机器上:
-
matmul 的吞吐非常高
-
但 exp/max/sum/rescale/mask/update 这些操作吞吐远低于 matmul
如果 kernel 里非 matmul 部分太多,就会出现:
理论 FLOPs 很大,但 Tensor Core 实际占比不高,整体效率拉不上去
FA1 问题¶
每处理一个新的 KV 块,FA1 都会更新 \(m\),并根据新的 \(m\) 对旧的输出 \(O\) 进行重标定(Rescale)。$\(O_{new} = \text{diag}(e^{m_{old} - m_{new}}) O_{old} + \dots\)$这意味着在内层循环中,每一轮都要对 \(O\) 进行一次昂贵的乘法缩放
$$
m_{\text{new}} = \max\left(m_{\text{old}},\, m_{\text{block}}\right)
$$
$$
O_{\text{new}} =
\frac{
e^{\,m_{\text{old}} - m_{\text{new}}} \, l_{\text{old}}
}{
l_{\text{new}}
} O_{\text{old}}
+
\frac{
e^{\,s_{\text{block}} - m_{\text{new}}}
}{
l_{\text{new}}
} V_{\text{block}}
$$
- 旧的输出 O_old 需要按比例 rescale
-
每一步都涉及除法、乘法、逐元素更新
-
这些都不是高吞吐 matmul
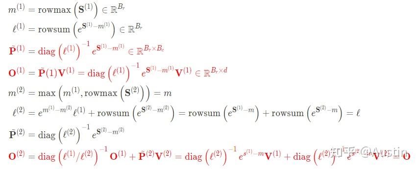
FA2 优化¶
FA2 的一个关键技巧就是:
不在每一步都维护“已经除以 \(\ell\) 的规范化输出,而是维护未归一化的累计输出 \(\tilde{O}\),
- 在计算局部 attention 时,先不考虑 softmax 的分母 \(\sum e^{x_i}\),即 \(\ell^{(i+1)} = e^{m^{(i)}-m^{(i+1)}} \ell^{(i)} + \text{rowsum}( e^{S^{(i+1)}-m^{(i+1)}} )\),例如计算 \(\mathbf{O}^{(1)}\) 时去除了 \(\text{diag}\left(\ell^{(1)}\right)^{-1}\)
FlashAttention:
$$
\mathbf{O}^{(1)} = \tilde{\mathbf{P}}^{(1)} \mathbf{V}^{(1)} = \text{diag}\left(\ell{(1)}\right) e{S}-m^{(1)}} \mathbf{V}^{(1)
$$
FlashAttention-2:
$$
\tilde{\mathbf{O}}^{(1)} = e{S}-m^{(1)}} \mathbf{V}^{(1)
$$
- 由于去除了 \(\text{diag}\left(\ell^{(i)}\right)^{-1}\),更新 \(\tilde{\mathbf{O}}^{(i+1)}\) 时不需要 rescale \(\ell^{(i)} / \ell^{(i+1)}\),但是得弥补之前局部 max 值,例如示例中:
FlashAttention:
$$
\mathbf{O}^{(2)} = \text{diag}\left(\ell^{(1)} / \ell{(2)}\right)\mathbf{O}\left(\ell} + \text{diag{(2)}\right) e{S}-m^{(2)}} \mathbf{V}^{(2)
$$
FlashAttention-2:
$$
\tilde{\mathbf{O}}^{(2)} = \text{diag}\left(e{m + e}-m^{(2)}}\right) \tilde{\mathbf{O}}^{(1){S = e}-m^{(2)}} \mathbf{V}^{(2){S + e}-m^{(2)}} \mathbf{V}^{(1){S}-m^{(2)}} \mathbf{V}^{(2)
$$
- 由于更新 \(\tilde{\mathbf{O}}^{(i+1)}\) 未进行归一化,最后一步时需要将 \(\tilde{\mathbf{O}}^{(\text{last})}\) 乘以 \(\text{diag}\left(\ell^{(\text{last})}\right)^{-1}\) 来得到归一化后正确的输出,例如示例中:
$$
\mathbf{O} = \text{diag}\left(\ell{(2)}\right)} \tilde{\mathbf{O}}^{(2)
$$
详细流程¶
对于固定的 \(i, j\),先和 FA1 一样计算:
然后更新 running max:
更新分母:
FA2 的关键是输出不直接写成归一化形式,而是写成:
最后如果要真正得到规范化输出,再做:
忽略 mask block 的 Attention 计算¶
- 由于 FlashAttention 和 FlashAttention-2 已经通过块操作来实现,对于所有列索引都大于行索引的块(大约占总块数的一半),我们可以跳过该块的计算。这比没有应用因果掩码的注意力计算速度提高了 1.7-1.8 倍。
- 不需要对那些行索引严格小于列索引的块应用因果掩码。这意味着对于每一行,我们只需要对 1 个块应用因果掩码。
Flash Attention V3¶
使用 Hopper 架构的硬件特性(如 TMA 和 Warp-specialization)来实现更高效的并行化和重叠计算,进一步提升性能。
- TMA (Tensor Memory Accelerator) 与异步性: Hopper 引入了专用的 TMA 硬件单元,用于在全局内存 (GMEM) 和共享内存 (SMEM) 之间执行异步内存拷贝 。FA3 利用这一点,在不阻塞计算线程的情况下,后台加载注意力块的数据。异步
- Tensor Cores (WGMMA 指令): 与上一代不同,Hopper 的 Tensor Cores 可以通过 WGMMA (Warpgroup Matrix-Multiply-Accumulate) 指令直接从共享内存中异步读取输入 。这使得矩阵乘法可以和内存操作或其他计算完全解耦。
- Warp 专用化 (Warp-specialization) 与动态寄存器分配: FA3 采用 Warp 专用化机制,将同一个线程块 (CTA) 内的 Warp 划分为专门的 Producer(负责发出 TMA 数据移动指令)和 Consumer(负责执行数学计算)。结合 Hopper 的 setmaxnreg 指令,FA3 可以将不怎么需要寄存器的 Producer Warp 的寄存器释放,动态分配给极其需要寄存器的 Consumer Warp,从而提升计算效率 。
- FP8 低精度硬件加速: Hopper 拥有专门针对 FP8 的 Tensor Cores,其吞吐量是 FP16/BF16 的两倍 。FA3 为此设计了块量化 (block quantization) 和非相干处理 (incoherent processing) 技术,以降低 FP8 在处理大语言模型离群值 (outliers)时的数值误差
Hopper 支持¶
- TMA (Tensor Memory Accelerator,张量内存加速器): 这是 Hopper 引入的一个专用硬件单元,负责在全局内存 (GMEM/HBM) 和片上共享内存 (SMEM) 之间执行异步数据拷贝 。它的存在意味着,数据搬运不再需要占用执行数学计算的 CUDA 核心的周期。
- WGMMA (Warpgroup Matrix-Multiply-Accumulate): 这是触发异步 Tensor Cores 的核心指令。它作用于整个 Warpgroup(包含 4 个连续的 Warp,即 128 个线程),指示硬件在后台执行大规模矩阵乘法 。值得注意的是,在 FP8 低精度模式下,WGMMA 对输入数据的内存布局有极其严格的要求(例如要求特定的 k-major 连续性布局) 。
- setmaxnreg (动态寄存器分配): 这条指令允许在运行时动态重新分配不同 Warpgroup 之间的寄存器数量 。这对于打破传统的寄存器限制至关重要。
Why can we overlap GEMM and Softmax?¶
在标准的注意力计算中,内部循环存在严格的顺序依赖:
1. 第一个 GEMM 计算注意力分数:\(S = QK^\top\)
2. 对 \(S\) 进行局部 Softmax 处理得到 \(P\)
3. 第二个 GEMM 计算输出:\(O = PV\)
由于 Softmax 必须等待第一个 GEMM 的结果,而第二个 GEMM 必须等待 Softmax 的结果,这通常会导致串行执行
FA3 能够打破这种依赖并实现重叠,其根本原因在于硬件分离与跨阶段流水线设计。硬件单元独立与吞吐量差异在 GPU 内部,矩阵乘法和 Softmax 分别由不同的物理单元执行:
- GEMM 由专门的 Tensor Cores 执行 。
- Softmax 包含大量的非矩阵操作(如浮点乘加和指数运算 exp),这些操作由独立的多功能单元 (Multi-Function Unit) 执行 。
- 在 H100 上,FP16 的矩阵乘法吞吐量可达 989 TFLOPS,而特殊函数(如指数运算)的吞吐量仅有 3.9 TFLOPS 。因此,指数运算的耗时极长。
- 理想的调度方式是:在 Tensor Cores 执行当前矩阵乘法的同时,让多功能单元去处理其他数据的指数运算,从而榨干所有硬件资源 。
跨 Warpgroup 的 Pingpong 调度¶
为了让 Softmax 的漫长计算隐藏在 GEMM 之下,FA3 使用了 "Pingpong 调度" 。
- 通过同步屏障指令(mbarrier),FA3 强制控制不同 Warpgroup(计算组)的执行节奏。
- 当 Warpgroup 1 在执行其 Softmax 指数运算时,Warpgroup 2 恰好在利用 Tensor Cores 执行其 GEMM 任务 。
- 随后两者角色互换。这种交替掩盖了极其耗时的非矩阵操作 。
Warpgroup 内部的两阶段流水线 (2-stage Pipelining)¶
除了在不同组之间交替,FA3 还在单个 Warpgroup 的内部循环中引入了流水线,打破了严格的顺序依赖 。
- 在 FA3 中,当硬件正在对当前数据块 \(S_cur\)计算 Softmax 时,它不需要闲置等待。
- 因为 WGMMA 是异步的,FA3 会直接向 Tensor Cores 发出计算下一轮数据块 \(S_{next} = QK_{next}^\top\) 的指令 。
- 这意味着,在同一个时刻,当前迭代的第二个 WGMMA 操作与下一个迭代的 Softmax 操作在物理硬件上是完全重叠运行的 。
Flash Decoding¶
Flash-Decoding 分 3 个步骤进行:
- 首先,我们将键/值拆分成更小的块。
- 我们使用 FlashAttention 并行计算每个分割后的查询注意力值\(o_i\)。此外,我们还为每行和每个分割写入一个额外的标量:注意力值的对数和指数。
- 最后,我们通过对所有分割进行归约来计算实际输出,使用对数求和指数来缩放每个分割的贡献。
这一切之所以可行,是因为注意力/softmax 可以迭代计算。在 Flash-Decoding 中,它被用于两个层面:在 splits 内(类似于 FlashAttention),以及跨 splits 进行最终的 reduce。
第一层:split 内部的 FlashAttention reduce¶
对于某个 split,仍然按 FlashAttention 的方式在 tile 级别递推。
对于当前 tile \(t\),有局部最大值 \(m_t\)、局部分母 \(l_t\)、局部输出 \(o_t\)。
跨 tile 时维护全局状态:
最后得到这个 split 的:
- 局部输出 \(o^{(m)} = o_{\text{new}} / l_{\text{new}}\)
- 局部 logsumexp
第二层:split 之间的 combine reduce¶
再把所有 split 的 \((o^{(m)}, \ell^{(m)})\) 做同样风格的归并。
先定义:
则总的 logsumexp 为:
最终输出为:













