Chapter 2: Transformer-based LLM
现在的大模型基本是 Transformer-based 的自回归预训练模型,本章我们将以 llama2 以及 GPT-3 为例介绍这种模型的基本结构。
- Positional Encoding: RoPE
- Attention: Multi-Head Attention or Multi-Query Attention or Grouped-Query Attention or Multi-Head Latent Attention or DeepSeek Sparse Attention
- Normalization: LayerNorm or RMSNorm
- FFN: MLP or SwiGLU or Mixture of Experts
Positional Encoding
一般分为两大类:绝对位置编码(Absolute Position Encoding)和相对位置编码(Relative Position Encoding)。本节将介绍这两种位置编码的区别及其重要性,并重点解析一种结合了两者优点的创新方法——旋转位置编码(Rotary Position Embedding, RoPE)
Why we need Position Encoding
在自然语言处理领域,Transformer 模型已成为一项革命性的技术。然而,其核心的自注意力机制本身并不具备捕捉序列中单词顺序的能力,即“位置无关性”。为了解决这一问题,位置编码应运而生。
绝对位置编码(Absolute Position Encoding)
给序列中的每个位置一个唯一的向量,把位置信息直接加到 token embedding 上。
- 固定式:不用学习参数,能推广到比训练时更长的序列 在最初的 Transformer 论文《Attention Is All You Need》中,作者使用正弦和余弦函数来生成这些位置编码。其数学表达式如下:
$$ \begin{aligned} PE_{(pos, 2i)} &= \sin\left(\frac{pos}{10000^{2i/d_{model}}}\right)\ PE_{(pos, 2i+1)} &= \cos\left(\frac{pos}{10000^{2i/d_{model}}}\right) \end{aligned} $$
- 可学习式:模型可以学到适合任务的位置信息。训练时没见过的长序列可能无法泛化 $$ PE_{pos} = \text{Embedding}(pos) $$
相对位置编码(Relative Position Encoding)
相对位置编码是根据单词之间的相对位置关系来计算位置编码。这种编码方式更加灵活,能够捕捉到不同单词之间的相对位置信息,有助于模型更好地理解序列中单词之间的关系。但是也有缺点,计算效率低下,同时大部分相对编码都没有落地可行性。
Rotary Position Embedding (RoPE)
将位置编码与词向量通过旋转矩阵相乘,使得词向量不仅包含词汇的语义信息,还融入了位置信息
$$ (R_mq)^T(R_nk) = q^TR_m^TR_nk = q^TR_{m-n}k $$
给位置为 m 的向量 q 乘上矩阵\(R_m\)、位置为 n 的向量 k 乘上矩阵\(R_n\)用变换后的 Q,K 序列做 Attention,Attention 就自动包含相对位置信息
-
相对位置感知:使用绝对位置编码来达到相对位置编码的效果,RoPE 能够自然地捕捉词汇之间的相对位置关系。
-
无需额外的计算:位置编码与词向量的结合在计算上是高效的。
-
适应不同长度的序列:RoPE 可以灵活处理不同长度的输入序列。
目的
我们假设通过下述运算来给 q,k 添加绝对位置信息: [ \tilde{q}_m = f(q, m), \quad \tilde{k}_n = f(k, n) \tag{1} ]
也就是说,我们分别为 q,k 设计操作\(f(\cdot,m),f(\cdot,n)\),使得经过该操作后,\(\tilde{q}_m,\tilde{k}_n\)就带有了位置 m,n 的绝对位置信息。Attention 的核心运算是内积,所以我们希望的内积的结果带有相对位置信息,因此假设存在恒等关系:
$$ ⟨f(q,m),f(k,n)⟩=g(q,k,m−n)\tag{2} $$
所以我们要求出该恒等式的一个(尽可能简单的)解。求解过程还需要一些初始条件,显然我们可以合理地设 \(f(q,0)=q\) 和 \(f(k,0)=k\)
实现
位置 m 的编码进行解方程,我们得到二维情况下用复数表示的 RoPE:
$$ f(q, m) = R*f(q, m) e^{i \theta f(q,m)} = |q| e^{i(\Theta(q) + m\theta)} = qe^{im\theta} \tag{3} $$
矩阵形式:
$$ f(q, m) = \begin{pmatrix} \cos (m\theta) & -\sin (m\theta) \ \sin (m\theta) & \cos (m\theta) \end{pmatrix} \begin{pmatrix} q_0 \ q_1 \end{pmatrix} \tag{4} $$
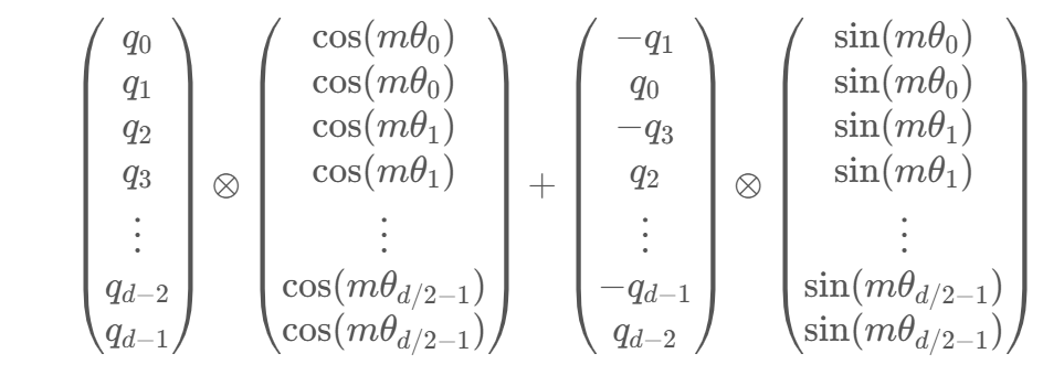
由于内积满足线性叠加性,因此任意偶数维的 RoPE,我们都可以表示为二维情形的拼接,即
:warning: 由于\(R_m\)具有稀疏性,不建议使用 matmul 进行实现,建议使用下面的方式实现:其中\(\odot\)是逐位对应相乘,即 Numpy、Tensorflow 等计算框架中的 ∗ 运算

Attention Series
- 在 MHA (Multi Head Attention) 中,每个头有自己单独的 key-value 对;标准的多头注意力机制,h 个 Query、Key 和 Value 矩阵。
- 在 MQA (Multi Query Attention) 中只会有一组 key-value 对;多查询注意力的一种变体,也是用于自回归解码的一种注意力机制。与 MHA 不同的是,MQA 让所有的头之间共享同一份 Key 和 Value 矩阵,每个头只单独保留了一份 Query 参数,从而大大减少 Key 和 Value 矩阵的参数量。
- 在 GQA (Grouped Query Attention) 中,会对 attention 进行分组操作,query 被分为 N 组,每个组共享一个 Key 和 Value 矩阵 GQA 将查询头分成 G 组,每个组共享一个 Key 和 Value 矩阵。
- GQA-G 是指具有 G 组的 grouped-query attention。
GQA-1 具有单个组,因此具有单个 Key 和 Value,等效于 MQA。而 GQA-H 具有与头数相等的组,等效于 MHA。
- GQA-G 是指具有 G 组的 grouped-query attention。

Multi-Head Latent Attention(MLA)
MLA 通过低秩联合压缩技术,减少了推理时的键值(KV)缓存,从而在保持性能的同时显著降低了内存占用

公式
- 在训练阶段,除了多了一步低秩投影以及只在部分维度加 RoPE 外,MLA 与 Q、K 的计算与 MHA 是基本相同的
RoPE 的$R_m$计算后投影矩阵与位置相关,为了解决这个问题,对 Q 和 K 的低秩投影分为两部分,一部分是原始的投影矩阵,另一部分是与位置相关的投影矩阵
- 在推理阶段,MLA 的计算可以等效为一个 MQA

投影矩阵吸收
在推理阶段,我们利用
$$ q_t^{(s)}k_i^{(s)T} = (x_tW^{(s)}_q)(c_iW^{(s)}_k)^T = x_t(W^{(s)}_qW^{(s)T}_k)c_i^T $$
将 \(W^{(s)}_qW^{(s)T}_k\) 合并起来作为 Q 的投影矩阵,那么 \(c_i\) 则取代了原本的 \(k_i\),同理,在 \(o_t\) 后面我们还有一个投影矩阵,于是 \(v^(s)_i=c_iW^{(s)}_v\) 的 \(W^{(s)}_v\) 也可以吸收到后面的投影矩阵中去,也就是说此时 KV Cache 只需要存下所有的 \(c_i\) 就行,而不至于存下所有的 \(k^{(s)}_i、v^{(s)}_i\)。注意到 \(c_i\)跟\(^{(s)}\)无关,也就是说是所有头共享的,即 MLA 在推理阶段它可以恒等变换为一个 MQA。
RoPE 解耦
为 RoPE 是一个跟位置相关分块对角矩阵\(R_m\),满足\(R_mR^⊤_n=R_{m−n}\),MLA 加入 RoPE 之后会让固定的投影矩阵与位置相关:
$$ q^{(s)}_i=x_iW^{(s)}_qR_i,k^{(s)}_i=x_iW^{(s)}_kR_i $$
$$ q^{(s)}_tk^{(s)T}_i=(x_tW^{(s)}_q)(c_iW^{(s)}_k)^T = x_t(W^{(s)}_qR_{t-i} W^{(s)T}_k)c_i^T $$
这里的 \(W^{(s)}qR{t-i} W^{(s)T}_k\) 就无法合并为一个固定的投影矩阵了(跟位置差 \(t−i\) 相关),从而 MLA 的想法无法结合 RoPE 实现。
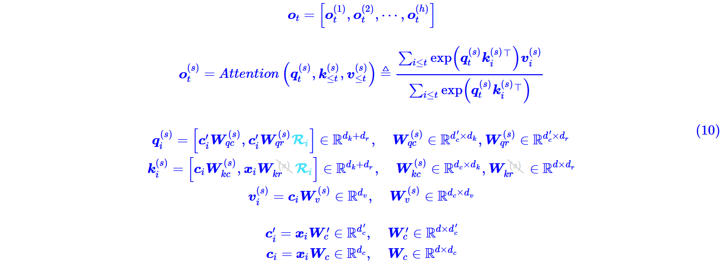
每个 Attention Head 的 Q、K 新增 \(d_r\) 个维度用来添加 RoPE,其中 K 新增的维度每个 Head 共享:
$$ o_t = \big[o_t^{(1)}, o_t^{(2)}, \cdots, o_t^{(h)} ,\big] $$
$$ o_t^{(s)} = Attention!\left(q_t^{(s)}, k_{\le t}^{(s)}, v_{\le t}^{(s)}\right) = \frac{\sum_{i \le t} \exp!\left(q_t^{(s)} k_i^{(s)\top}\right) v_i^{(s)}} {\sum_{i \le t} \exp!\left(q_t^{(s)} k_i^{(s)\top}\right)} $$
$$ q_i^{(s)} = [x_i W_{qc}^{(s)},x_i W_{qr}^{(s)}R_i] ,\quad k_i^{(s)} = [c_i W_{kc}^{(s)},x_i W_{kr}R_i] ,\quad v_i^{(s)} = c_i W_v^{(s)}, \quad c_i = x_i W_c $$
Normalization
-
LayerNorm: 对某个样本的所有特征维度进行归一化
$$ \text{LayerNorm}(x) = \frac{x - \mu}{\sigma} \cdot \gamma + \beta $$
-
RMSNorm: 简化版的 LayerNorm,它不减去均值,只基于平方均值 (Root Mean Square) 来归一化 $$ \text{RMSNorm}(x) = \frac{x}{\sqrt{\frac{1}{d}\sum_{i=1}^{d} x_i^2 + \epsilon}} \cdot w $$
Why RMSNorm?
- Layer-Norm 和 RMS-Norm 在测试集效果上没有明显差异,基本持平
- RMS-Norm 的计算效率要更高

Feed Forward Network (FFN)
- MLP: 两层全连接网络,中间使用非线性激活函数(如 ReLU 或 SiLU) $$ \text{FFN}(x) = \text{ReLU}(0, xW_1)W_2 $$
- SwiGLU: 使用 SiLU 激活函数的变体并增加门控机制 $$ \begin{aligned} \text{SwiGLU}(x) &= (\text{Swish}(xW_1);\odot;xW_2) \ \text{Swish}(x) &= x \cdot \sigma(x) \end{aligned} $$
- Mixture of Experts (MoE): 多个专家网络的集合,每个输入样本通过一个路由器选择部分专家进行处理,从而提高模型的表达能力
- Switch Transformer:Top-1 gating,每个 token 只去 1 个专家。
- GShard / GLaM:Top-2 gating,每个 token 走 2 个专家,结果加权。

LLAMA2 模型结构
-
相较于 Transformer,llama2 使用了 pre-norm 结构
-
使用 RMSNorm 替代 LayerNorm,不计算样本均值
-
使用 Rotary Positional Encoding (RoPE),用绝对编码的方式来实现相对位置编码
-
使用 GQA (Grouped-Query Attention),平衡效率和性能
-
使用 SwiGLU 替代简单的 MLP,激活函数使用 SiLU
$$ \begin{aligned} \text{SwiGLU}(x) &= \text{Swish}(xW_1+b_1);\odot;(xW_2+b_2) \ \text{Swish}(x) &= x \cdot \sigma(x) \end{aligned} $$

参考资料
- 结构篇| 浅析 LLaMA 网络架构
- 苏剑林. (Mar. 23, 2021). 《Transformer 升级之路:2、博采众长的旋转式位置编码 》[Blog post]. Retrieved from https://kexue.fm/archives/8265
- 苏剑林. (May. 13, 2024). 《缓存与效果的极限拉扯:从 MHA、MQA、GQA 到 MLA 》[Blog post]. Retrieved from https://spaces.ac.cn/archives/10091
- DeepSeek-V2: A Strong, Economical, and Efficient Mixture-of-Experts Language Model
- Root Mean Square Layer Normalization
- Switch Transformers: Scaling to Trillion Parameter Models with Simple and Efficient Sparsity